近日,中国热科院橡胶研究所其他产胶植物课题组在橡胶草天然橡胶产量形成基因鉴定方面取得重要新进展,通过全基因组分析在橡胶草和药用蒲公英的基因组中分别鉴定了66个TkMADS和59个TmMADS基因,为橡胶草高产种质的创制和遗传改良提供新靶标和新思路。
橡胶草又称俄罗斯蒲公英,其根部可合成高质量天然橡胶,其结构和性能与三叶橡胶相似,且橡胶草适合我国大部分温带地区种植,是具有良好发展前景的产胶作物。但我国现有橡胶草种质产胶量普遍较低,这是限制橡胶草产业化的关键难题。因此,筛选和创制高产橡胶草品种是目前重要的育种目标。
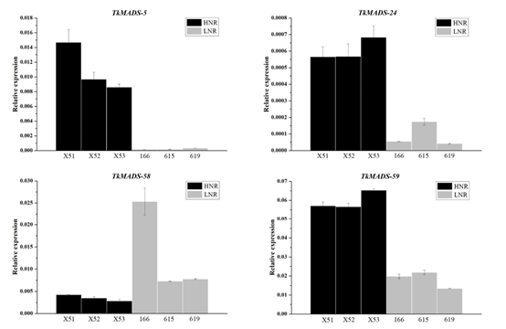
该研究团队通过全基因组分析在橡胶草(TKS,二倍体)和药用蒲公英(TM,三倍体,几乎不产橡胶)的基因组中分别鉴定了66个TkMADS和59个TmMADS基因。从二倍体的TKS到三倍体的TM,MADS-box基因的总数没有增加,但在个别亚族中发生了明显的扩增;在两个物种的基因组中,MADS-box基因家族分别经历了11个复制事件从而导致了基因数量的扩增。TkMADS和TmMADS基因高度保守,并具有良好的共线性(图1)。大多数TkMADS基因表达具有明显的组织特异性,特别是ABCDE模型的基因,在花中优先表达,表明它们在橡胶草花发育中具有保守且重要的功能。此外,通过比较不同橡胶草品系的转录组,鉴定出25个与生物量形成相关的TkMADS(图2)以及4个与天然橡胶含量相关的TkMADS基因(图3)。
相关研究成果以题为“Genome-Wide Identification of MADS-Box Genes in Taraxacum kok-saghyz and Taraxacum mongolicum: Evolutionary Mechanisms, Conserved Functions and New Functions Related to Natural Rubber Yield Formation”发表于《International Journal of Molecular Sciences》杂志上。中国热科院橡胶研究所硕士研究生陈家奇为第一作者,刘实忠研究员和覃碧研究员为论文通讯作者。该项研究得到国家自然科学基金面上项目(31970364)资助。
(Website: https://www.mdpi.com/1422-0067/24/13/10997)

MADS-box基因在TKS和TM基因组中的重复事件及其共线关系分析

生物量形成相关TkMADS基因鉴定及其在四倍体与二倍体TKS中的表达分析

天然橡胶合成相关TkMADS基因鉴定及其在高、低含胶量橡胶草株系中的表达分析


琼ICP备11000394号
琼公网安备 46010602000325号